ISSN 2074-9414 (Печать),
ISSN 2313-1748 (Онлайн)

Том 8, №2, 2020

16391
Аннотация
Таблицы и рисунки
On January 30, 2020, the Director-General of the World Health Organization declared the outbreak of COVID-19 a Public Health Emergency of International Concern. There is hardly a country in the world that is not currently facing this problem. The number of cases is constantly growing, patients and carriers being the main mode of transmission. The economies of all countries are at stake. However, people need essential goods and food, regardless of the situation. In this respect, agriculture, food industry, food market, and catering have become priority industries. A continuous operation of food service enterprises (FSE) is crucial for the uninterrupted food supply in the period of preventive measures. The paper describes how pathogen makes its way into FSEs, spreads, and infects people. This information makes it possible to assess the probability of coronavirus infection and to reduce its spread, thus ensuring the safe operation of the enterprise. There are three transmission routes the coronavirus can take at a FSE: (1) aerial transmission by droplets and aerosols during the main and secondary technological production processes, (2) person-to-person transmission from clients to staff or from employee to employee via direct or indirect contact, (3) transmission via contaminated surfaces, e.g. packaging, furniture, equipment, etc. FSEs have to follow the recommendations published by the federal and/or local authorities, which may vary depending on the COVID-19 incidence rate in the area. These recommendations are based on the probability of the public health risk associated with person-to-person transmission, rather than on food safety.
37134
Аннотация
Таблицы и рисунки
Recently, there has been a very rapid accumulation of empirical data of economic indicators of the food crisis associated with the coronavirus pandemic. The purpose of this article was to develop a set of measures aimed at minimizing the negative economic impact of the coronavirus crisis (CVC) both at the national and international levels. All these presupposed solving the following tasks. Having studied the nature of the crisis, we found out that it had the greatest impact on such components of food sector as transport, logistic chains, and human resources. We revealed that, first of all, such areas of the economy as fisheries and agricultural production of fruits and vegetables were affected by the crisis. It is obvious that it will also adversely affect small farmers, seasonal and migrant workers, etc. The work proposes the most effective public measures against the negative impact of CVC on the global economy. In particular, we examined the scenario of (possibly temporary) nationalization of operators of critical infrastructure to produce planned critical goods or services. The developed set of measures included limitation of the workers’ rights and freedoms by imposing to them labor duties, or replacing them with military ones, limiting the price of strategic goods, and organizing their consumption and distribution. Possible triggers for the implementation of such a scenario in the agricultural sector are offered, as well as mechanisms of protecting and supporting groups of economic agents affected by CVC are proposed.
23936
Аннотация
Таблицы и рисунки
Uroteuthis (Photololigo) chinensis L. is one of the most popular kind of seafood that accounts for about 20% of all cephalopod species caught in Vietnam. This study was aimed at developing a quality index method (QIM) scheme to assess the quality and freshness of Loliginid squids. The new method will be of benefit to consumers, fishers, seafood dealers, seafood industry businesses, and controlling entities. The QIM scheme for Loliginid squids was based on the changes registered for 10 sensory parameters, scoring from 0 to 28. The obtained equation for linear correlation with P-value < 0.05 during storage was Y = 1.083 Xtg + 2.866, with coefficient R2 = 0.99. When preserved on ice, the Loliginid squids proved to have a shelf life of 10–12 days. The QIM program and the quality index equation provided a user-friendly, quick, and efficient scientific-based tool that can specify the storage time and estimate the remaining shelf life for Loliginid squids. The scheme can be combined with other chemical quality parameters of freshness to form a full quality assessment program for Loliginid squids.
15623
Аннотация
Таблицы и рисунки
Amaranth is a promising raw material for enriching foods with protein, minerals, vitamins, dietary fibre, squalene, and other nutrients. However, its varieties differ significantly in composition and properties. The research included two stages. At first, we studied the composition of eight amaranth varieties grown in a collection nursery of Voronezh State Agrarian University. Their composition was a factor that determined their functional use as an enriching ingredient. We found that amaranth grain of the Universal variety could be best used to increase the biological value of foods, whereas the Universal and Valentina varieties could be recommended as multifunctional ingredients. The addition of enriching ingredients into foods, including breads, often leads to changes in their traditional consumer properties. Therefore, our next step was to study changes in the composition of Universal amaranth during extrusion using IR spectroscopy. Also, we assessed the effect of amaranth extrudate on the baking properties of model wheat flour and extrudate mixtures as the main factor of the product’s consumer properties. The results showed a redistribution of moisture between flour gluten proteins and extrudate dietary fibre. We also established amounts of amaranth extrudate needed to ensure the preservation of crumb appearance and structure close to the traditional ones.
12040
Аннотация
Таблицы и рисунки
Breads with proven hepatoprotective properties can make a significant contribution to preventing liver disease. This work aimed to study hepatoprotective and antioxidant effects of breads enriched with water and ethanol extracts of polyphenol-containing viburnum (Viburnum sargentii Koehne L.), magnolia-vine (Schisandra chinensis L.), and grapes (Vitis amurénsis L.). It was based on an experimental model of toxic hepatitis in mice intoxicated with carbon tetrachloride. Experimental groups of animals were fed on bread with extracts for 7 days and control groups had a bread-free diet. We analysed their body weight, liver lipid metabolism, “lipid peroxidation – antioxidant protection” system, and antiradical activity. The level of reduced glutathione and malonic dialdehyde was determined by micro-thin-layer chromatography. Superoxide dismutase, glutathione reductase, and glutathione peroxidase activity was measured to analyse the antioxidant system. The total content of common polyphenols in breads was determined by the colorimetric method with the Folin-Chocalteu reagent. The animals on a bread-free diet showed an impaired lipid metabolism and higher activity of liver enzymes. They had a 22% increase in liver weight and a 1.9 times depletion of antiradical protection (6.65 ± 0.15 Trolox units/mg protein vs. 13.15 ± 0.21 Trolox units/mg protein in the control; P < 0.001). We also registered a 2.5 times decrease in superoxide dismutase, a key enzyme of the antioxidant defence system. The animals fed on breads with the above extracts showed a statistically significant normalization of the parameters, compared to the bread-free group. We found that those breads had hepatoprotective and antioxidant effects on the animals, stabilizing their general condition and normalizing their biochemical parameters and antioxidant system.
13676
Аннотация
Таблицы и рисунки

Introduction. After the Iraq war, the dust phenomenon has increased in western Iran. Our study aimed to evaluate the effect of the dust phenomenon on the content of heavy metals in raw milk in Ilam province.

Study objects and methods. The dust samples were collected during one year. The concentrations of dust particles were determined with the Enviro Check Laser System, using the Dust Monitor Check. The concentration of heavy metals in dust was determined by using the high volume air samplers and glass fiber filters.

Results and discussion. Heavy metals (lead, arsenic, zinc, copper, and iron) were measured at four sampling sites in raw milk by the atomic absorption method. The mean and standard deviations of dust particulate matter (PM10 and PM2.5) were 105.6 ± 90.5 and 25.9 ± 15.4 μg/m3, respectively. The amounts of arsenic, zinc, lead, and copper were higher in the spring and summer. Lead levels in western and southern regions were higher than those in the east, center, and north.

Conclusion. We found similar trends for arsenic, zinc, copper, and iron in raw milk. Our results showed the potential effect of the dust phenomenon on the presence of heavy metals in raw milk.

15093
Аннотация
Таблицы и рисунки
Introduction. Modern meat scientists are currently interested in combining meat raw materials with plant ingredients to enrich products with biologically active substances of natural origin, including antioxidants. In this regard, we studied the antioxidant capacity of a dry lingonberry marc extract introduced into meat paste and analyzed its effects on the product’s color and stability during storage.
Study objects and methods. Our objects of study were a dry lingonberry marc extract originating in the Republic of Buryatia, forcemeat, and a ready-made paste in a casing. The extract was obtained by water-alcohol extraction using microwave irradiation. We investigated the physicochemical characteristics of the dry extract, including its contents of phenolic compounds, benzoic acid, and antioxidants.
Results and discussion. During the experiment, we analyzed the extract’s effect on the paste’s total antioxidant capacity, coloring, and shelf life. The results showed that increasing the extract’s amount from 0.1% to 0.4% changed the color of the paste from gray-brown to purple-brown, respectively, due to anthocyanins. In further tests, we used a 0.2% concentration of lingonberry extract – the optimal amount that retained the usual brown color of the paste while increasing the content of antioxidant substances. Then, we analyzed the degree of fat oxidation in the paste samples made with and without sodium lactate during storage. According to the results, the lingonberry marc extract used without the acidity regulator and with it inhibited lipid oxidation by 12.7% and 20%, respectively, by neutralizing free radicals. Finally, we tested the presence of pathogenic microorganisms in the end products. We detected no E. coli bacteria in the samples and found an inhibited growth of mesophilic anaerobic and facultative anaerobic microorganisms due to the extract’s bactericidal effect established in Our earlier studies.
Conclusion. Thus, our results indicated that the dry lingonberry marc extract introduced into meat paste increased the product’s total antioxidant capacity and improved its stability during storage.
11757
Аннотация
Таблицы и рисунки
Introduction. Non-meat proteins are widely used in meat processing. In our study, we analyzed the effects of whey and soy protein isolates on the physicochemical and sensory properties of domestic fermented sausage.
Study objects and methods. Five groups of sausages were traditionally fermented under industrial conditions. The sausage group without the additives was labelled the control, while other sausages were manufactured with the addition of 0.5% and 1.5% protein isolates of whey and soybean. Using a quantitative descriptive test, we assessed the sensory characteristics of the sausages and instrumentally determined their color, hardness, water activity (aw), and pH.
Results and discussion. The proteins added to fermented sausages improved emulsification, texture, as well as water and fat binding capacity, which was confirmed by the results for hardness. Using a 0.5% soy protein isolate resulted in a firmer product. The additives had a minor effect on the color: the samples with the additives had a slightly lower L* value, and those with a soy protein had higher yellowness (b*).
Conclusion. Using the additives did not have a significant effect on the chemical composition and overall sensory quality of all tested samples (P > 0.05).
14937
Аннотация
Таблицы и рисунки
Introduction. Microbial biomass is a popular source of food ingredients and feed additives. Its high use has made it focus of many relevant studies. Yeast and fungal biomasses proved to be useful substrates that improve the quality and biological value of functional products. They differ in the content and composition of proteins and polysaccharides. The present research dealt with the enzymatic decomposition of proteins found in a novel fungal and yeast biomass. The research objective was to describe the peptide and amino acid composition of their enzymatic hydrolysates.
Study objects and methods. The research featured a new fungal and yeast biomass mix. Aspergillus oryzae is a mycelial fungus and a popular industrial producer of hydrolytic enzymes in food industry. As for the yeast, it was the Saccharomyces cerevisiae strain, which is often used in baking.
Results and discussion. The total content of identified amino acids in the fungal and yeast biomass was 306.0 mg/g, which was 1.5 times higher than in the fungal biomass alone. The biomass mix demonstrated a higher biological value of proteins than the yeast biomass. A set of experiments made it possible to compile a scheme for the biocatalytic destruction of polymers in the fungal and yeast biomass under the effect of fungal intracellular and endogenous enzymes. The article also contains a thorough description of the obtained enzymatic hydrolysates with various fractional compositions of peptides and free amino acids. Peptides with the molecular weight in the range of up to 29.0 kDa decreased by 2.1 times after 5 h of hydrolysis and by 10.7 times after 18 h. The designed conditions doubled the release of amino acids and increased the content of low-molecular-weight peptides up to 75.3%.
Conclusion. The research provided a new algorithm for the biocatalytic conversion of microbial biomass. Regulating the conditions of enzymatic hydrolysis made it possible to obtain enzymatic hydrolysates with a desired degree of protein degradation. They could serve as peptides and amino acids in functional food and feed products.
12985
Аннотация
Таблицы и рисунки
Introduction. Various cultures of microorganisms have recently been used to accelerate technological processes. In this regard, it appears highly relevant to study the action of beneficial microorganisms on the components of food systems.
Study objects and methods. The study objects included a model mixture of beef muscle and pork fat tissue with 2% salt, as well as a model protein. Lactobacillus plantarum and Staphylococcus carnosus were used in an amount of 1×107 CFU/g of raw material. The compositions of free amino and fatty acids, carbohydrates, and other components were analyzed by liquid and gas chromatography with mass-selective detection.
Results and discussion. We studied the effect of L. plantarum and S. carnosus on protein, lipid, and carbohydrate components of food systems based on animal raw materials. We found that the combined effect of the cultures was by 25% as effective as their individual use at 4×109 CFU/kg of raw material. The three-week hydrolysis of proteins to free amino acids was almost a third more effective than when the cultures were used separately. The synergistic effect of L. plantarum and S. carnosus on fat components was not detected reliably. Free monosaccharides formed more intensively when the cultures were used together. In particular, the amount of free lactose almost doubled, compared to the cultures’ individual action.
Conclusion. We described culture-caused quantitative changes in the main components of animal-based food systems: amino acids, fatty acids, carbohydrates, and basic organic compounds. Also, we identified substances that can affect the taste and aroma of final products when the cultures are used together or separately. These results make it possible to obtain products with a wide variety of sensory properties.
10780
Аннотация
Таблицы и рисунки
Introduction. Barley can be infected with a broad variety of fungi, which can cause considerable loss of crop yield and reduce the quality of grain. Modern vision on the geographical and ecological distribution and biodiversity of micromycetes has been established by traditional, cultivation-based methods. However, more recently, molecular methods have shifted microbiological research to a new level, making it possible to investigate hidden taxonomical biodiversity.
Study objects and methods. For this study, we determined the fungal biome on the surface and inside of barley grains using the traditional mycological method and the contemporary molecular method, which employed DNA metabarcoding based on NGS (nextgeneration sequencing) of the ITS2 region. We analyzed five cultivars that were collected in two subsequent crop seasons (2014, 2015).
Results and discussion. DNA metabarcoding revealed 43 operational taxonomic units, while 17 taxa of genus or species level were recovered by the traditional method. DNA metabarcoding revealed several minor species and one predominant, presumably plantpathogenic Phaeosphaeria sp., which were not detected in the agar plate-based assay. Traditionally, Fusarium fungi were identified by mycological assay. However, the resolution of DNA metabarcoding was sufficient to determine main Fusarium groups divided by ability to produce toxic secondary metabolites. The combined list of Ascomycetes consisted of 15 genera, including 14 fungi identified to species level. The list of Basidiomycota derived from DNA metabarcoding data alone included 8 genera.
Conclusion. It was found that crop season predetermines the fungal community structure; mycobiota on the surface and inside of grain was significantly different.
11406
Аннотация
Таблицы и рисунки
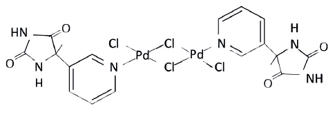
Introduction. Infectious diseases remain a serious threat to humanity worldwide as bacterial pathogens grow more diverse. Bacteria, fungi, and parasites develop resistance to clinically approved antimicrobials, which reduces the efficacy of available drugs and treatment measures. As a result, there is an ever growing demand for new highly effective pharmaceuticals. This review describes mono- and polynuclear platinum and palladium complexes with antimicrobial properties. We compared several groups of antibacterial agents: antibiotics, antioxidant biologically active substances, antimicrobial nanoparticles, nanocomposite materials, biopolymers, micellar systems, and plant extracts.
Study objects and methods. The review covered relevant articles published in Web of Science, Scopus, and Russian Science Citation Index for the last decade. The list of descriptors included such terms as mononuclear and binuclear complexes of platinum, palladium, and antimicrobial activity.
Results and discussion. Chelates of platinum, palladium, silver, iridium, rhodium, ruthenium, cobalt, and nickel are popular therapeutic agents. Their antimicrobial activity against pathogenic microorganisms can be enhanced by increasing their bioavailability. Metalbased drugs facilitate the transport of organic ligands towards the bacterial cell. The nature of the ligand and its coordination change the thermodynamic stability, kinetic lability, and lipophilic properties of the complex, as well as the reactivity of the central atom. Polynuclear platinum and palladium complexes contain two or more bound metal (coordinate) centers. Covalent bonding with bacterial DNA enables them to form a type of DNA adducts, which is completely different from that of mononuclear complexes.
Conclusion. Metal-based drugs with functional monodentate ligands exhibit a greater antimicrobial effect compared to free ligands. Poly- and heteronuclear complexes can increase the number of active centers that block the action of bacterial cells. When combined with other antibacterial agents, they provide a synergistic effect, which makes them a promising subject of further research.
9822
Аннотация
Таблицы и рисунки
The paper describes an environmentally safe technology for biofortifying lamb with target components in required concentrations packed in biodegradable film. To address the problem of micronutrient deficiency, we developed a biologically safe method of enriching lamb with organic iodine and selenium supplements. Introducing selenium and iodine feed supplements to the animals’ diet increased the average daily growth of their live mass in experimental groups by 3.43, 6.72, and 14.92% in groups I (iodine), II (selenium), and III (iodine and selenium), respectively, compared to the control group (feed only). The analysis of immunephysiological status showed an increase in phagocytic number in experimental groups: by 5.1% (P > 0.95), 9.4%, and 14.5% in groups I, II, III, respectively. In addition, the highest phagocytic activity and phagocytic intensity were observed in animals of group II and group III, indicating their higher resistance to adverse environmental factors, compared to the control. There was an increase in iodine, selenium and zinc content in the lamb meat from the experimental groups grown on enriched diets. We recorded a higher concentration of the micronutrients in the lambs receiving “Yoddar-Zn” and “DAFS-25” supplements together (Zn – 980 μg/100 g; Se – 53.9 μg/100 g; I – 77.6 μg/100 g). We found that the contents of zinc, selenium, and iodine in 100 g of m. Longissimus dorsi were 8.2%, 77.0%, and 51.7%, respectively, of the required content in the daily diet. Thus, we can use this raw material to produce functional meat products. Packaging lamb in sodium alginate-based biodegradable film helped reduce moisture loss during storage.
11598
Аннотация
Таблицы и рисунки
Introduction. In view of the ongoing research into the negative effects of fruit juice on human health, we aimed to study the subchronic toxicity of apple juice, a model mixture based on its components, and ethanol on biomass growth, cellular oxidative enzymes, and chromosomal abnormalities in Allium cepa roots.
Study objects and methods. Our objects of study included clarified apple juice and its components such as fructose, glucose, sucrose, D-sorbitol, and malic acid. After treating Allium cepa roots with apple juice and a model mixture in different concentrations, we analyzed their toxic effects on biomass growth, malondialdehyde levels, as well as the nature and frequency of proliferative and cytogenetic disorders in the plant tissues.
Results and discussion. The incubation in an aqueous solution of apple juice at a concentration of 1:5 inhibited the growth in root mass by 50% compared to the control (water). The mitotic index of cells decreased with higher concentrations of juice, reaching zero at a 1:5 dilution. The fructose and model solutions in the same concentrations appeared less toxic in relation to cell mitosis and root mass growth. Although malondialdehyde levels increased in the onion roots treated with juice and model solutions, they were twice as low as in the control due to the juice’s antioxidant activity. Adding 1% ethanol to the 1:2 diluted juice abolished the effect of acute toxicity on root growth and reduced malondialdehyde levels by 30%.
Conclusion. The study revealed a complex of interdependent biomarkers of apple juice responsible for its subchronic toxicity in Allium cepa roots. These data can be used to create biological response models based on the approaches of systems biology and bioinformatics.
9894
Аннотация
Таблицы и рисунки
Introduction. This study aimed to evaluate the antioxidant and anti-diabetic activity of aqueous and hydroalcoholic extracts of pomegranate (Punica granatum L.) leaves in vitro, as well as to determine the content of polyphenols, flavonoids, and flavonols.
Study objects and methods. The antioxidant activity was determined by the DPPH test using the free radical 1,1-diphenyl-2-picrylhydrazyle and the FRAP method, as well as by measuring total antioxidant capacity and the hydrogen peroxide scavenging activity.
Results and discussion. The content of total polyphenols varied between 4.43 ± 0.3 and 12.66 ± 1.6 mg EAG/g. The highest content of flavonoids was observed in the hydroalcoholic extract of P. granatum leaves (P < 0.05). The flavonol contents in the hydroalcoholic and aqueous extracts were 7.68 ± 0.6 and 9.20 ± 2.8 mg EQ/g, respectively. The IC50 of the antioxidant potential of the hydroalcoholic and aqueous extracts was 32.4 ± 1.109 and 35.12 ± 4.107 mg/mL, respectively. According to the DPPH test, the aqueous extract was the least active (IC50 = 14.15 ± 1.513 mg/mL). The highest percentage of hydrogen peroxide trapping was found in the aqueous extract (45.97 ± 6.608 %). The inhibition of α-amylase showed an IC50 of between 9.804 ± 0.67 and 19.011 ± 9.82 mg/mL in the aqueous and hydroalcoholic extracts, respectively. The inhibition of glucose uptake by yeast recorded a high inhibitory capacity at 50 mg/mL of glucose.
Conclusion. We found that the antioxidant and anti-diabetic activity of P. granatum leaves extracts was due to the presence of bioactive compounds such as flavonoids, which is why they are effective in preventing diabetes and its complications.
8171
Аннотация
Таблицы и рисунки
Introduction. Due to the trend of avoiding antibiotics and acquiring eco-friendly products, the use of environmentally safe preparations is becoming increasingly relevant in poultry farming.
Study objects and methods. We used Salmonella enteritidis and Campylobacter jejuni isolated from poultry carcasses. At the first in vitro stage, we studied the ability of mannan oligosaccharides, isolated from the cell walls of Saccharomyces cerevisiae yeast, to adsorb bacterial pathogens. At the second stage, we studied the influence of fraction on the activity, colonization and microflora composition of ducklings’ intestines. At the third stage, we determined the antagonistic activity of Bifidobacterium spp. (Bifidobacterium lactis, Bifidobacterium longum, Bifidobacterium bifidum) and Lactobacillus spp. (Lactobacillus fermentun, Lactobacillus salivarius, Lactobacillus acidophilus) against Salmonella enteritidis and Campylobacter jejuni isolates. The experiment was conducted on the ducklings of Star 53 H.Y. cross. Their diet was supplemented with probiotics, prebiotics, and their combination.
Results and discussion. In vitro studies showed the ability of mannan oligosaccharides isolated from the cell walls of Saccharomyces cerevisiae yeast to adsorb Salmonella enteritidis and Campylobacter jejun. In vivo experiment showed the ability of mannan oligosaccharides to prevent colonization of poultry intestines by bacterial pathogens with type I fimbriae.
Conclusion. The reisolation rate of ducks infected with Salmonella enteritidis was 53.6% lower, and those infected with Campylobacter jejuni, 66.2% lower than the control. Mannan oligosaccharides added to the diet did not affect the concentration of lactobacilli, enterococci, and anaerobic bacteria in the ducks’ intestines. A combined use of Bifidobacterium spp. and mannan oligosaccharides improved the preservation of poultry stock by 8.7%, which made it an effective way to prevent poultry salmonellosis.
7956
Аннотация
Таблицы и рисунки
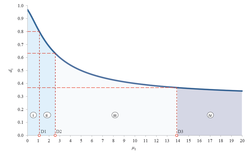
Introduction. The existing diversity of plant raw materials and products predetermine the prospects of studying their potential as sources of pectin substances. However all current classifications are either fragmented or inconsistent.
Study objects and methods. Our theoretical ivestigation aimed to develop an adequate classification for all taxa of plant origin, as well as their tissues and derivatives as pectin-containing materials. We developed criteria for assessing transformation potential of the protopectin complex based on the mass fractions of biologically active non-uronide components, native water-soluble pectin, the protopectin complex, and pectin substances. Individual boundary conditions were based on individual pectin potential, protopectin fragmentation potential, and pectin isolation potential.
Results and discussion. Based on the boundary conditions, we defined an universal criterion space that included a set of points M in the coordinates expressed by three main criteria. According to individual boundary conditions, the criterion space was divided, or zoned, into four domains corresponding to protopectin fragmentation potential. They were characterized by: 1) lack of pectin potential, 2) ineffective protopectin fragmentation, 3) ineffective isolation of fragmentation products, and 4) effective isolation. Finally, we developed a generalized algorithm to determine the location of points M1, μ2 , μ3 ] in the zoned criterion space, characterizing the plant tissue.
Conclusion. Our approach can be used to assess any plant tissue for its protopectin transformation potential, which determines the technological influence on its pectin potential. This approach is universal, i.e., applicable to both plant tissue and its derivatives.
9464
Аннотация
Таблицы и рисунки
Introduction. Due to the deficit and high cost of complete animal protein, the search and analysis of alternative sources is an actual scientific trend. Lentils is a good alternative to animal protein, but the pronounced bean smell and taste limit its full or partial use in food production. The aim of the work was to determine the total aromas of lentils when germinated to eliminate the bean taste and smell.
Study objects and methods. The object of the study was brown lentil beans germinated under laboratory conditions. Samples of the equilibrium gas phase formed over samples of wet and sprouted beans were investigated. The analysis of total aromas was carried out on a laboratory odor analyzer MAG-8 (“electronic nose”) by the method of piezoelectric quartz micro-weighing with an array of sensors.
Results and discussion. The study results showed qualitative and quantitative differences in the equilibrium gas phase over samples of wet and germinated grain. The quantitative analysis showed that the content of volatile compounds over sprouted grain is 12% less than over wet. The qualitative composition of the samples of wet and sprouted grain differed by 60%, which confirmed the influence of germination on the composition of the equilibrium gas phase and the possibility of eliminating bean odor. Testing showed that the use of pre-processed lentil grains allows to replace up to 50% of raw meat in minced products (minced food, chopped food) without changing the smell of the products.
Conclusion. According to the results obtained, preliminary processing of lentils by germination will allow using this bean culture as an alternative source of animal protein to expand the range, and improve the quality of meat and dairy products.
9864
Аннотация
Таблицы и рисунки
Introduction. In recent years, scientists have been actively searching for medicinal plants containing biologically active substances with geroprotective properties to treat diseases of old age, in particular cancer, diabetes, cardiovascular diseases, and others. Ginseng (Panax ginseng L.) is a promising source of geroprotective compounds. We aimed to select optimal parameters for extracting organic compounds from ginseng callus, suspension, and root cultures and analyze their qualitative composition.
Study objects and methods. We studied ginseng callus, suspension, and root cultures, as well as their extracts. Biologically active substances were extracted with 30 to 70% ethanol. Organic compounds were determined by thin-layer chromatography. The results for each plant were archived and analyzed for the presence of quercetin, mangiferin, luteolin, rutin, quercetin-2-D-glucoside, malvidin, as well as caffeic, cinnamic, ferulic, and sinapinic acids.
Results and discussion. We developed a procedure for screening solvents and performed a fractional qualitative analysis of biologically active substances extracted from ginseng. As a result, we established the optimal parameters for extracting biologically active substances from the dried biomass of ginseng cultures. In all cases, temperature and the ratio of solvent to biomass were the same (50°C, 1:5). However, the extraction time and ethanol concentration differed, amounting to 60 min and 50% for callus cultures, 30 min and 60% for suspension cultures, and 60 min and 70% for root cultures. The qualitative analysis of organic compounds showed the presence of rutin (0.25), quercetin (0.75), and mangiferin (0.57), as well as caffeic and sinapinic acids in the extracts.
Conclusion. Our set of experiments to isolate biologically active substances from ginseng callus, suspension, and root cultures resulted in selecting the optimal extraction parameters and analyzing the extracts for the presence of organic compounds.
10894
Аннотация
Таблицы и рисунки
Introduction. Increased resistance of microorganisms to traditional antibiotics has created a practical need for isolating and synthesizing new antibiotics. We aimed to study the antibiotic activity and resistance of bacteriocins produced by lactic acid bacteria and other microorganisms.
Study objects and methods. We studied the isolates of the following microorganism strains: Bacillus subtilis, Penicillium glabrum, Penicillium lagena, Pseudomonas koreenis, Penicillium ochrochloron, Leuconostoc lactis, Lactobacillus plantarum, Leuconostoc mesenteroides, Pediococcus acidilactici, Leuconostoc mesenteroides, Pediococcus pentosaceus, Lactobacillus casei, Lactobacillus fermentum, Bacteroides hypermegas, Bacteroides ruminicola, Pediococcus damnosus, Bacteroides paurosaccharolyticus, Halobacillus profundi, Geobacillus stearothermophilus, and Bacillus caldotenax. Pathogenic test strains included Escherichia coli, Salmonella enterica, Staphylococcus aureus, Pseudomonas aeruginosa, Bacillus mycoides, Alcaligenes faecalis, and Proteus vulgaris. The titer of microorganisms was determined by optical density measurements at 595 nm.
Results and discussion. We found that eleven microorganisms out of twenty showed high antimicrobial activity against all test strains of pathogenic and opportunistic microorganisms. All the Bacteroides strains exhibited little antimicrobial activity against Gramnegative test strains, while Halobacillus profundi had an inhibitory effect on Gram-positive species only. The Penicillium strains also displayed a slight antimicrobial effect on pathogenic test strains.
Conclusion. The antibiotic resistance of the studied lactic acid bacteria and other bacteriocin-producing microorganisms allows for their use in the production of pharmaceutical antibiotic drugs.
12908
Аннотация
Таблицы и рисунки
Introduction. Codonopsis javanica L. root is a gingsen-like medicinal material with valuable bioactive compounds and alkaloids in its composition. However, the diversification of commercial products from Codonopsis javanica root extract is limited and poorly represented on the market. This study presents a new production process of an instant tea product from Codonopsis javanica root extract, which involved spray drying with maltodextrin as a drying additive.
Study objects and methods. The research featured different process parameters including a drying additive concentration, a drying temperature, and a feed flow rate. Moisture content and drying yield were selected as the main outcomes.
Results and discussion. In general, the improved drying yield was associated with an increased drying additive concentration, a lower drying temperature, and a higher feed flow rate. The best drying yield (78.35%) was obtained at the drying additive concentration of 30% (w/w), the drying temperature of 140°C, and the feed flow rate of 300 mL/h. The total saponin content in the product was 0.29% (w/w), and the ABTS free radical scavenging ability reached 59.48 μgAA/g. The obtained powder was spherical and exhibited fairly uniform particle morphology with shriveled and concave outer surface.
Conclusion. The research results justified the use of Codonopsis javanica as an ingredient in beverage industry and suggested maltodextrin as an appropriate substrate for spray-drying natural extracts.
12160
Аннотация
Таблицы и рисунки
Introduction. Producing new maize cultivars in areas with limited water resources is the main task of plant breeders. However, there is little information regarding their technological characteristics and industrial potential. Besides, snacks have gained worldwide acceptability and become part of modern food culture, especially among young people and children. Thus, our study aimed to produce corn snacks from new yellow corn hybrids planted under water stress in Delta region, Egypt.
Study objects and methods. We investigated healthy processing techniques and used nixtamalization and baking instead of frying. We also evaluated the chemical composition and starch crystallinity of flour, the rheological properties of dough, as well as color attributes and sensory characteristics of baked snacks.
Results and discussion. Significant differences (P ˂ 0.05) were found between all corn genotypes in their fat, protein, ash, crude fiber, and carbohydrate contents. The experimental drought conditions caused higher protein and fat contents compared to normal conditions. X-ray diffraction indicated that nixtamalization decreased starch crystallinity. Also, X-ray and rapid visco analysis showed that Y2 genotype exhibited the highest crystallinity and the lowest pasting properties, while Y3 and Y5 had the lowest crystallinity and the highest pasting properties. Baked snacks made from nixtamalized corn flour of genotypes planted under drought conditions had comparable quality characteristics in terms of color and sensory properties to the control snacks made from SC178 genotype planted under normal conditions.
Conclusion. The new corn hybrids grown in limited water conditions and the developed snacks represent a healthy alternative to cornbased fried snacks.
9784
Аннотация
Таблицы и рисунки
Introduction. Dairy products are an important part of the diet. Kashk is a traditional Iranian dairy product rich in protein. However, kashk has a high water content and is a good medium for the growth of microorganisms. The aim of this study was to investigate the effect of the ethanolic extract of caper fruit (Capparis spinosa L.) on reducing the microbial burden of kashk.
Study objects and methods. The study objects were three kashk samples. The control sample was kashk without caper extract. Two experimental samples included kashk with 0.211 and kashk with 0.350 mg/mL of ethanolic caper extract. All the samples were tested for pH, sensory and antioxidant properties, colorimetric parameters, and microbial population. The experiments were performed on days 0, 7, 14, 21 and 28 of storage.
Results and discussion. The results showed all the samples had pH within the standard values during the entire shelf life (3.96 to 4.53). The samples with 0.350 mg/mL of the caper extract had the lowest EC50 (12.05 μg/mL), i.e. the highest antioxidant activity. The increased concentration of the extract and storage time resulted in a decrease in L* and increase in b*, while did not impact a*. Staphylococcus aureus population increased more rapidly than Clostridium botulinum during the storage time, and the overall sensory acceptability of the kashk samples on days 0 and 7 received the highest score.
Conclusion. The kashk samples containing 0.350 mg/mL of caper extract had an improved antimicrobial, antioxidant and antifungal properties and can be produced and consumed as a new functional product.
8366
Аннотация
Таблицы и рисунки
Introduction. Gliadin proteins are one of the gluten fractions. They are soluble in alcoholic solution and divided into four groups (α + β, γ, ω1.2, and ω5-gliadins). In this paper gliadins were extracted from wheat flour, and optimal conditions for their separation were determined.
Study objects and methods. The separation was performed by capillary gel electrophoresis on Agilent apparatus, CE 7100 (a capillary with an inner diameter of 50 μm, a total length of 33 cm, and an effective length of 23.50 cm). In order to determine the optimal conditions, different solvent concentrations (50, 60, and 70% ethanol), capillary temperatures (20, 25, 30, 35, and 40°C), and electrode voltages (–14.5, –16.5, –17.5 and –18.5 kV) were applied. Migration time and relative concentration of each protein molecules within gliadin fractions in the electrophoregram were analysed using Agilent ChemStation Software.
Results and discussion. The optimal conditions for gliadin separation were: solvent 70% (v/v) ethanol, capillary temperature of 25°C, and electrode voltage of –16.5 kV. Under these conditions, the total proteins were indetified as Xav = 23.50, including α + β gliadin fraction (Xav = 7.50 and relative concentration RC = 28.29%), γ-gliadins (Xav = 5.00, RC = 26.66%), ω1.2-gliadins (Xav = 4.33, RC = 14.93%), and ω5-gliadins (Xav = 6.67, RC = 30.98%).
Conclusion. The results of the research can be of fundamental importance in the study of gluten proteins and the influence of technological procedures on their change and the possibility of reducing the allergic effect of gluten during processing.
15593
Аннотация
Таблицы и рисунки
Introduction. High fiber bakery products can be a healthy snack option for consumers. Our study focused on the effect of replacing wheat flour with okara flour on the physicochemical, nutritional, textural, and sensory attributes of biscuits.
Study objects and methods. We used 2, 4, 6, and 8% w/w okara flour to prepare biscuits. Refined wheat flour (control), mixed flour (okara and wheat flour), dough, and biscuits were assessed for physicochemical, textural, and nutritional properties, as well as sensory characteristics. The volume of particles was higher in 8% okara flour (145 μm) compared to refined wheat flour (91 μm).
Results and discussion. 2, 4, 6, and 8% w/w okara flour biscuits showed significantly (P ≤ 0.05) lower spread ratio and weight loss than biscuits from wheat flour. Hardness, stickiness, and cohesiveness of 2, 4, 6, and 8% okara flour dough were significantly (P ≤ 0.05) lower compared to the control, resulting in decreased cutting strength and increased hardness of okara flour biscuits. Moisture, protein, ash, fat, and crude fiber contents of 2, 4, 6, and 8% okara biscuits were significantly (P ≤ 0.05) higher compared to the control biscuits. The sensory evaluation suggested that 4% okara biscuits had higher consumer acceptability and were superior to the control and other okara biscuits.
Conclusion. Mixed flour biscuits made from okara and wheat flours were superior in physicochemical, nutritional, textural, and sensory attributes, which allows considering them as an alternative healthy snack.